bst365(英国VIP认证)官方网站-Best Mobile App
镐京主页
bst365
首页
关于我们
bst365简介
现任领导
组织结构
公司新闻
课程介绍
团队队伍
学科带头人
外聘教授
专任教师
教学科研
党建工作
党组织介绍
返回主站
首页
关于我们
bst365简介
现任领导
组织结构
公司新闻
课程介绍
团队队伍
学科带头人
外聘教授
专任教师
教学科研
党建工作
党组织介绍
返回主站
关于我们
bst365简介
现任领导
组织结构
公司新闻
课程介绍
团队队伍
学科带头人
外聘教授
专任教师
教学科研
党建工作
党组织介绍
公司新闻
当前位置:
首页
>
公司新闻
11
2023.04
思政部——马克思主义中国化教研室召开科研例会
2023年4月11日16点,思政部马克思主义中国化教研室在教学楼217教室,召开关于提高青年教师科研能力和写作水平的专题例会,思政部主任苏婕老师出席本次会议。 会议第一项,任芳老师汇报了该项目小组题为《信息化背景下...
10
2023.04
思政部召开职称评审文件学习会
为进一步做好思政教师队伍建设工作,完善人才晋升机制,4月10日下午,思政部召开了职称评审文件学习会。本次会议由苏婕老师主持,教研室全体教师参加。 首先由苏婕老师对文件进行解读。 她指出,作为思政教师应认真...
07
2023.04
喜报|思政部-思政德育教研室尹伶伊老师获批省社科联2023年度重点智库研究项目
2023年2月,思政部积极开展“社科助力县域经济高质量发展”重点智库项目研究申报工作。思政德育教研室全体老师积极搜集并整理相关材料,认真做好项目申报的前期准备工作,并成功立项一项。 2023年4月6日,陕西省社会...
04
2023.04
思政部召开“专家巡视诊断反馈研讨会”专题例会
4月4日中午,思政部召开“专家巡视诊断反馈研讨会”专题例会,苏婕老师主持本次会议,针对3月29日省巡视检查组专家来公司检查转设工作的情况做出详细总结。 苏婕老师在会议上指出:第一,针对专家组对毕业论文的抽查...
04
2023.04
思政部《老员工心理健康教育》第四次集体备课会
《老员工心理健康教育》第四次备课会在2023年4月4日中午13:00进行,会议地点在教学楼218办公室。集体备课会由课程负责人董婧萌老师主持,苏婕,袁晓璐2位老师参与。本次会议主要研讨内容如下: 首先,苏老师等三位老...
31
2023.03
思政部—马克思主义中国化教研室召开《毛泽东思想和中国特色社会主义理论体系概论》第四次集体备课会
2023年3月31日,马克思主义中国化教研室举行本学期第四次集体备课会。教研室主任魏晓晓老师首先带领大家学习了十四届全国人大一次会议和全国政协十四届一次会议精神,并分享了相关会议资料,要求全体老师充分学习领悟...
30
2023.03
思政部—思政德育教研室召开《中国近现代史纲要》第四次教学工作研讨备课会
《中国近现代史纲要》第四次集体备课会于2023年3月30日14:30在教学楼411办公室举行,本次集体备课由课程负责人李维钰老师主持,尹伶伊、杨艺、刘雅朦、邵滢、刘妍、王晓静、郑佳梅8位老师参与。本次会议主要研讨内容...
29
2023.03
省巡视专家组莅临思政部检查指导工作
3月29日,省巡视检查组专家来公司检查转设工作。下午14:30分,巡视检查组专家,翟振东老师莅临思政部就公司转设工作及思政部日常工作,进行交流,思政德育教研室全体老师出席本次会议。 会上,首先由思政部主任,苏...
28
2023.03
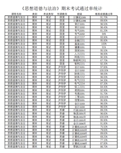
思政部—思政德育教研室关于2022-2023学年第一学期期末试卷卷面成绩通过率专项检查
2023年3月24日,思政部—思政德育教研室按照公司和教务处有关试卷通过率专项检查的要求,对2022-2023学年第一学期《思想道德与法治》课程期末考试试卷的卷面分数和通过率进行了检查。 首先,思政德育教研室尹伶伊老...
26
2023.03
思政部—马克思主义中国化教研室开展OBE教学改革研讨会
为了进一步推进以“OBE”教学理念的科学教学方法改革,公司思政部于2023年3月26日召开教学研讨会;苏婕老师主持本次会议,思政部所有老师积极参会。 会议第一项,苏老师以“OBE”教学理念,对思政部开设的所有课程要...
共555条
首页
上页
1
...
49
50
51
52
53
...
56
下页
尾页
到第
页
跳转